728x90
반응형
https://school.programmers.co.kr/learn/courses/30/lessons/60060
프로그래머스
코드 중심의 개발자 채용. 스택 기반의 포지션 매칭. 프로그래머스의 개발자 맞춤형 프로필을 등록하고, 나와 기술 궁합이 잘 맞는 기업들을 매칭 받으세요.
programmers.co.kr
- 풀이1
- 문자열 검색에 최적화된 알고리즘
- Trie
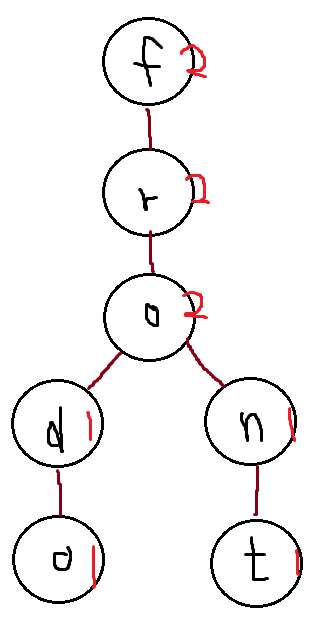
- ['frodo','front']를 Trie 형태로 바꾸기
- {5: {'f': [2, {'r': [2, {'o': [2, {'d': [1, {'o': [1, {}]}], 'n': [1, {'t': [1, {}]}]}]}]}]}}
- ['frodo','front']를 Trie 형태로 바꾸기
- Trie
- 문자열 검색에 최적화된 알고리즘

- 코드1
# Trie 사용
def make_trie(words,reverse):
trie = {}
# 얕은 복사 이용
for word in words:
trie.setdefault(len(word),{})
next_trie = trie[len(word)]
# 뒤집기?
if reverse:
word = word[::-1]
for letter in word:
next_trie.setdefault(letter,[0,{}])
next_trie[letter][0] += 1
next_trie = next_trie[letter][1]
return trie
# 매치하는 문자 수 구하기
def cnt(query,new_query,trie):
# 글자수가 같은 단어가 없으면 0
if len(query) not in trie.keys():
return 0
cur_trie = trie[len(query)]
for letter in new_query:
# letter까지 글자가 매치하지 않는가?
if letter not in cur_trie.keys():
return 0
# 매치한다면 다음 글자 확인
else:
cur_trie = cur_trie[letter][1]
# 글자가 다 매치한다
return sum(v[0] for v in cur_trie.values())
def solution(words, queries):
answer = []
# trie 만들기(접두사를 위해 뒤집은 것도 만들기)
word_trie = make_trie(words,False)
reverse_word_trie = make_trie(words,True)
# 검색키워드 별로 세어보자
for q in queries:
new_q = q.replace('?','')
# ?가 접두사에 있는가?
# ????o -> reverse_w에서 o 찾기
if q[0] == '?':
c = cnt(q,new_q[::-1],reverse_word_trie)
answer.append(c)
# ?가 접미사에 있는가?
# fro?? -> w에서 fro 찾기
else:
c = cnt(q,new_q,word_trie)
answer.append(c)
return answer

- 풀이2
- 각 단어를 길이에 따라 나눈 후 키워드 별로 매치된 단어 개수 찾기
- froaa <= fro?? <= frozz
- 이진 탐색으로 찾기
- bisect 이진 탐색 모듈 사용
- 이진 탐색으로 찾기
- 접두사의 경우 뒤집어서 생각
- ????o
- oaaaa <= o???? <= ozzzz
- ????o
- 풀이 1보다 더 빠름
- 코드2
from bisect import bisect_left,bisect_right
def solution(words, queries):
answer = []
# 같은 길이의 단어끼리 모으기
w = [[] for _ in range(10001)]
reverse_w = [[] for _ in range(10001)]
for word in words:
w[len(word)].append(word)
reverse_w[len(word)].append(word[::-1])
# 정렬
for i in range(10001):
w[i].sort()
reverse_w[i].sort()
for q in queries:
# 이분 탐색을 통해 범위 구하기
# froaa <= fro?? <= frozz
# ????o : oaaaa <= o???? <= ozzzz
qA = q.replace('?','a')
qZ = q.replace('?','z')
# ?가 접두사에 있는가? -> 단어를 뒤집어서 범위 구하기
if q[0] == '?':
s = bisect_left(reverse_w[len(q)],qA[::-1])
e = bisect_right(reverse_w[len(q)],qZ[::-1])
answer.append(e-s)
# ?가 접미사에 있는가?
else:
s = bisect_left(w[len(q)],qA)
e = bisect_right(w[len(q)],qZ)
answer.append(e-s)
return answer

728x90
반응형
'TIL (~2024) > Python 알고리즘' 카테고리의 다른 글
| 이코테 Q.29 공유기 설치 (0) | 2023.03.09 |
|---|---|
| 이코테 Q.28 고정점 찾기 (0) | 2023.03.09 |
| [프로그래머스] [3차] 압축 - Python (0) | 2023.03.08 |
| 이코테 Q.27 정렬된 배열에서 특정 수의 개수 구하기 (0) | 2023.03.08 |
| 이것이 취업을 위한 코딩 테스트다 CHAPTER 07 이진 탐색 (0) | 2023.03.07 |
댓글